重庆市长寿区区人力资源和社会保障局

您当前的位置:首页 >政务信息 >动态

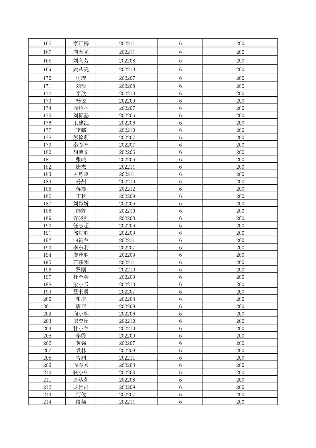
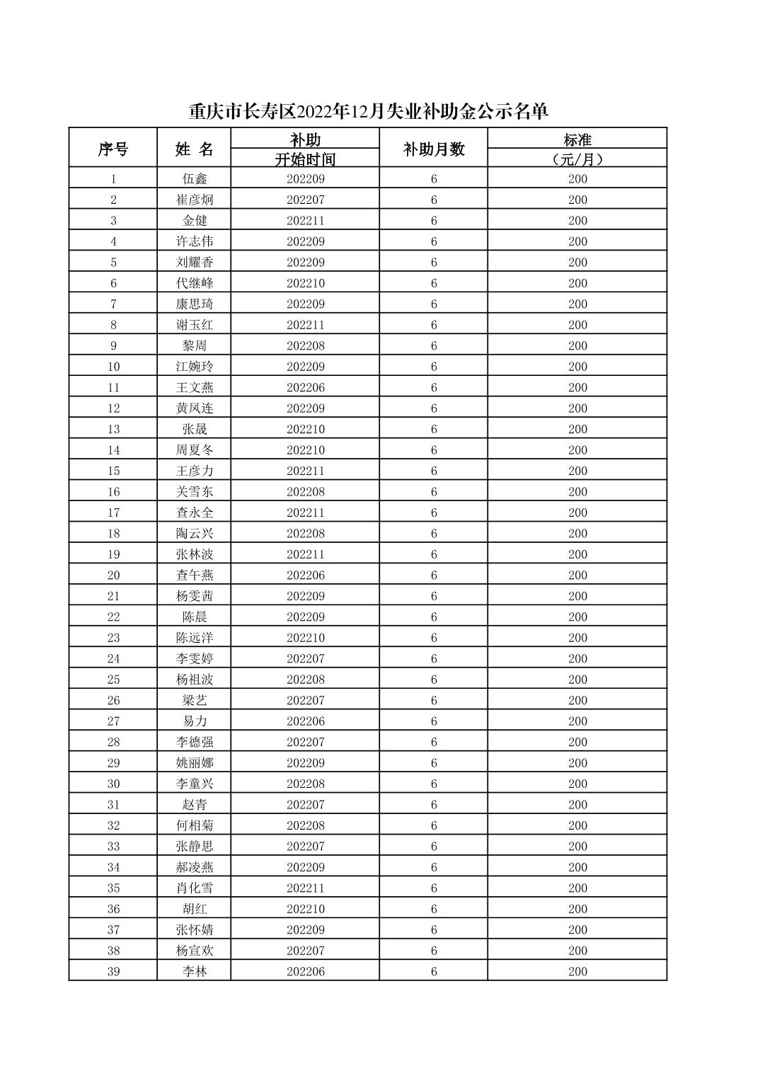
重庆市长寿区2022年12月领取失业补助金人员公示

日期:2022-12-23

根据《关于做好失业保险稳岗位提技能防失业工作的通知》(渝就发〔2022〕19号)规定,经申请及审核,以下人员符合领取失业补助金条件,现予以公示(名单见附件),公示期为5个工作日(2022年12月23日—2022年12月29日)。公示期间对领取失业补助金人员信息有异议可向区就业和人才中心反映。

监督电话:40667230  40244029

附件:重庆市长寿区2022年12月失业补助金公示名单



重庆市长寿区就业和人才中心

2022年12月23日



扫一扫在手机打开当前页

微信

微博

政务新媒体

部门街镇

国务院部门网站

地方政府网站

市政府部门网站

区(县)政府网站

其他网站